Low-Frequency Gravitational Waves as Probes of Galactic-Center Environments
TDLI RESEARCH ACHIEVEMENTS
A research team led by Yifan Chen, a tenure-track fellow at the Tsung-Dao Lee Institute, Shanghai Jiao Tong University, has recently published a study in Nature Astronomy entitled “Inference on inner galaxy structure via gravitational waves from supermassive binaries”. Using the nanohertz gravitational wave background detected by pulsar timing arrays (PTAs), the team has extracted key information on the matter distribution in galactic centers.
PTAs detect gravitational waves with frequencies as low as nanohertz by monitoring, with long-term precision, variations in the arrival times of radio pulses from millisecond pulsars across the Milky Way. Gravitational waves in this frequency band are primarily generated by supermassive black hole binaries slowly orbiting and inspiraling toward merger, making PTAs a unique window into the most massive black hole systems in the Universe. Recent spectrum measurements show that the overall gravitational wave background is consistent with theoretical expectations from supermassive black hole binaries, but exhibit a spectral turnover at the lowest frequencies. This feature suggests that the orbital evolution of black hole binaries may not be governed solely by gravitational wave emission, but is also influenced by their surrounding environments.
The study systematically investigates how stellar and dark matter environments around supermassive black hole binaries affect their orbital evolution. In galactic centers, stars or dark matter particles can be ejected through gravitational slingshot interactions with the binary, efficiently extracting orbital energy and gradually reshaping the central matter distribution. This process not only accelerates the binary’s inspiral but also leaves observable imprints on the shape of the gravitational wave background spectrum.
The research team incorporated these environmental effects together with the evolution of binary orbital eccentricity into a unified theoretical framework, and compared the predictions with 15 years of observational data from the NANOGrav Collaboration. The results show that current gravitational wave data already place meaningful constraints on matter densities in galactic centers. The inferred density range is compatible with stellar distributions on parsec scales in both the Milky Way and the nearby galaxy M87. The analysis further reveals a degeneracy between environmental effects and binary orbital eccentricity. To address this, the authors tested a wide range of model assumptions and demonstrated that the inferred density scale remains stable across different reasonable parameterizations, strengthening the robustness of their conclusions.
Although uncertainties remain, this work demonstrates that gravitational wave observations are beginning to carry measurable information about galactic-center environments. It highlights a new capability of gravitational wave astronomy: using gravitational waves to probe the matter distribution in the inner regions of galaxies. As PTA observations continue to accumulate longer datasets, and as powerful radio telescope such as China’s FAST telescope join the effort, future measurements are expected to achieve substantially improved sensitivity. This will allow different environmental effects to be more clearly distinguished, advancing our understanding of galactic-center dynamics and potentially offering new insights into the nature of dark matter, including whether it behaves as particles or waves and whether it exhibits self-interactions.
This work is a
NANOGrav collaboration paper. The paper’s co-corresponding authors also include
Xuanye Fan from Stony Brook University (USA) and Xiao Xue from DESY (Germany)
and IFAE (Spain). Additional collaborators are from the Institute for
Theoretical Physics at Goethe University Frankfurt, DESY, the Space Telescope
Science Institute (STScI), Johns Hopkins University, the Niels Bohr Institute,
Stony Brook University, and the Institut de Física d’Altes Energies (IFAE),
among others.

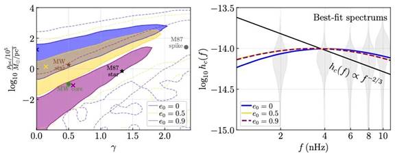
Figure 1: The left panel illustrates the inferred matter distribution in galactic centers derived from gravitational wave observations. Colored regions show the ranges of central density and profile shape favored by the data for different assumed initial orbital eccentricities of supermassive black hole binaries, with darker shades indicating the regions most consistent with the observations. For comparison, known stellar distributions and hypothetical dark matter distributions in the Milky Way and the nearby galaxy M87 are marked, most of which fall within the data-preferred region. The right panel shows the corresponding best-fit gravitational wave background spectra, compared with the lowest-frequency measurements from the 15-year NANOGrav dataset. The black curve represents the standard theoretical prediction assuming circular binary orbits and no environmental effects
Publication
Yifan Chen, Matthias Daniel, Daniel J. D’Orazio, Xuanye Fan, Andrea Mitridate, Laura Sagunski, Xiao Xue, and the NANOGrav Collaboration (with additional consortium members listed in the paper) “Inference on Inner Galaxy Structure via Gravitational Waves from Supermassive Binaries”, Nature Astronomy.
DOI: https://www.nature.com/articles/s41550-026-02782-0
Contact Information
Yifan Chen
Tsung-Dao Lee
Institute, Shanghai Jiao Tong University
chen.yifan@sjtu.edu.cn
Xuanye Fan
Department of Physics and Astronomy, Stony Brook University
xuanye.fan@ligo.org
Xiao Xue
DESY, Hamburg, Germany and Institut de Física d’Altes Energies (IFAE),
Barcelona, Spain
xxue@ifae.es